师父
炼功
学法
残酷迫害
世界认知和褒奖
国内认知和嘉奖
国外认知褒奖证书
本类精选
欧洲
加拿大
美国
亚太地区
国外嘉奖仪式
对学员活动的嘉奖
讲清真相
世界法轮大法日
修炼心得交流会
天安门广场和平请愿
重要事件相关图片
洪法资料
科学探索
漫画
艺术作品
外界媒体图片
图形参考
其他
其它网站图片


世界认知和褒奖  ›  国外认知褒奖证书  ›  亚太地区

   第2/3页 第 1页  第 3页 每页300张图片
Published on 7/16/2006 从台湾各界谴责中共活摘器官说起(图)
台湾2002年法轮大法交流会副总统贺电
Published on 7/16/2006 从台湾各界谴责中共活摘器官说起(图)
2001年台湾法轮大法法会总统贺电
Published on 7/16/2006 从台湾各界谴责中共活摘器官说起(图)
台湾行政院长致2001年法轮大法法会贺电
Published on 7/16/2006 从台湾各界谴责中共活摘器官说起(图)
花莲县议会议长祝贺法轮大法洪传十周年
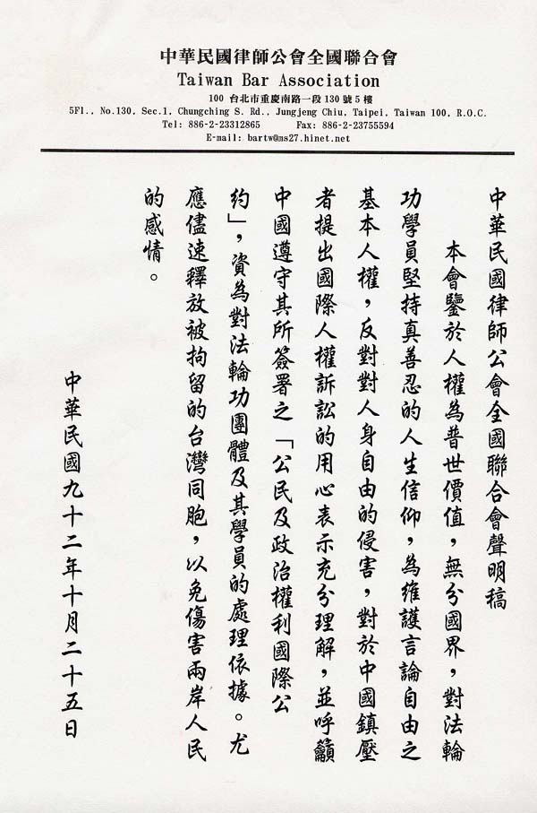
Published on 7/16/2006 从台湾各界谴责中共活摘器官说起(图)
“中华民国律师公会全国联合会”的声明 表态支持法轮功“诉江案”
Published on 5/11/2007 法轮大法泽润台湾(二)(图)
法轮大法泽润台湾图为新和国小感谢状
Published on 5/9/2009 法轮功,新西兰联合部落酋长议会宣布法轮大法周(图)
新西兰联合部落酋长议会宣布法轮大法周
Published on 5/9/2009 法轮功,新西兰联合部落酋长议会宣布法轮大法周(图)
新西兰联合部落酋长议会宣布法轮大法周
Published on 12/4/2010 法轮功,修者足迹遍天涯|台湾宜兰(图) - 法轮大法明慧网
宜兰监狱颁发感谢状给法轮大法学会
Published on 5/11/2011 法轮功,澳洲昆省各界齐贺世界法轮大法日 - 法轮大法明慧网
昆省各界齐贺世界法轮大法日 -参议员Mark Furner的贺信
Published on 6/29/2012 法轮功,澳洲布莱克节日游行 法轮功连续三年获冠军 - 法轮大法明慧网
法轮功团体获得悉尼布莱克镇节日大游行冠军奖牌
Published on 6/29/2012 法轮功,澳洲布莱克节日游行 法轮功连续三年获冠军 - 法轮大法明慧网
澳洲布莱克布市长艾伦•彭德尔顿(Alan Pendleton)为法轮功团体代表颁奖